Tema 8 - Glucósidos Cianogenéticos - 3/10
Clase del 3/10 Presentación
Glucósidos cianogenéticos
Cianuro, ácido cianhídrico, ácido prúsico, metanonitrilo o formonitrilo [C≡N]-
Tipos de “hipoxias”
Hipoxia: cualquier situación en la que hay una disminución en el aporte o uso de oxígeno a los tejidos periféricos.
- Hipoxia arterial: Obstrucción, depresores respiratorios.
- Hipoxia anémica: Menor hemoglobina funcional
- Hipoxia hipocinética: Disminución de flujo por paro cardiaco o vasodilatación.
- Hipoxia histotóxica: Incapacidad celular de utilizar el O2.
Cianuro
- Cualquier compuesto químico con un grupo ciano C≡N
- Ácido cianhídrico: HCN, H-C≡N
- Cianuro: CNCianuro potásico: KCN
- Azul de Prusia, ferrocianuro férrico: Fe7 (CN)18(H2O)x
- Ferrocianuro de potasio: K4 [Fe(CN)6]
- Cianamida: N≡C–NH2
- Cianamida cálcica: CaCN2, [Ca2+] [-N=C=N-]
- La toxicidad depende de la capacidad para liberar ion cianuro CN-
- Fuentes de cianuro: cianamida, cianuro de calcio, cianhídrico, nitrilos, glucósidos, cianuro potásico, ferricianuro potásico, cianuro de sodio...
IMPORTANTE El cianuro mientras que este unido entre si (CN) no es toxico, es cuando se disocia que es toxico.
Usos del cianuro:
- Industria: galvanoplastia, fabricación de goma, síntesis química, plásticos, fotografía, fibras sintéticas, producción de fertilizantes, etc.
- Fumigaciones de almacenes, naves, barcos, etc.
Origen en veterinaria
- Semillas y plantas
- Humo de incendios
- Agua contaminada con residuos
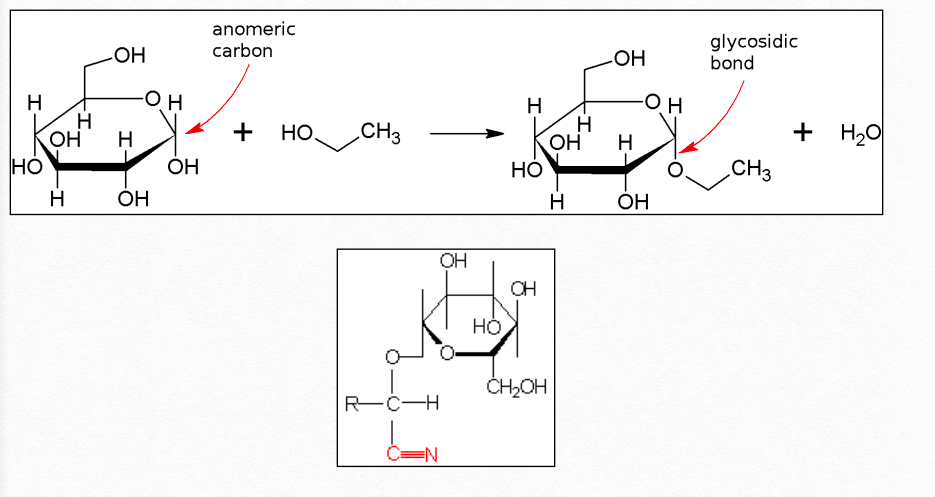
Glucósidos
Moléculas orgánicas que constan de un azúcar y una parte aglicona unida mediante un enlace glicosídico:
Plantas responsables
- El sorgo es el mejor ejemplo en veterinaria, es muy nutritivo pero la planta normal es toxica al tener cianuro, si se coge demasiado joven lo será. Si se cosecha adulto y se deja secar el cianuro se volatiliza así que es seguro de comer
- Generalmente en frutos jovenes
- Prunus y almendros (tienen mutacion para que las almendras no tengan) tambien producen cianuro
- Sambucus nigra, saúco Maíz
Principales glucósidos
- Amigdalina: Almendras
- Durrina: Sorgo
- Linamarina y lotaustralina: Mandioca, habas
- Prunasina: frutas del Gº Prunus.
- Sambunigrina: Sambucus (saúco)
Contenido de CN- en plantas
- Campos muy abonados con nitratos y pobres en fosfatos
- Mayores concentraciones en hojas, semillas, brotes nuevos y plantas jóvenes.
- El contenido en CN disminuye lentamente en heno.
Origen del CN-
- Sequía, molienda, masticación, etc., libera enzimas hidrolíticas como la ß-glicosidasa y liasas que rompen el glucósido. En rumen y por acidez de monogástricos, hay hidrólisis adicional:
- En rumen la digestión enzimática continúa con más hidroxinitriloliasa, liberando HCN:
- Son enzimas de las plantas y flora digestiva
Toxicidad
- Toxicidad: 1-5 mg/kg peso en todas especies.
- Prunasina: 5 mg/kg en rumiantes
- Peligroso en plantas si > 200 ppm en seco.
- Sorgo: pocas ppm a 8000 ppm de durrina
- Bambú: hasta 8000 ppm de cianuro, sin efecto en pandas, gorilas o lémures.
Toxicocinética
ABSORCIÓN:
- Atraviesa fácilmente las membranas: Respiración > Digestiva > Piel
- Parte del CN- de los glucósidos hidrolizados en rumen son eructados e inspirados.
ELIMINACIÓN:
- 80% como tiocianato por rodanasa (sulfotransferasa mitocondrial): Tiosulfato + HCN = Tiocianato
- 15 % reacciona con cistina y se excreta
- Sin modificar por pulmones y orina
- Oxidado a formato y CO2
- Incorporación a hidroxicobalamina como cianocobalamina
- Unión estable a Fe3+ de metaloporfirinas
- Unión y bloqueo a citocromo c oxidasa mitocondrial
- Bloqueo de la cadena respiratoria por oxidación del Fe y de la síntesis de ATP
- Desvío de piruvato a lactato y acidosis metabólica
- Los tejidos más afectados son los de gran actividad de fosforilación oxidativa: SNC y miocardio
- Unión inhibidora a muchas enzimas y proteínas.
- El CN- estimula los quimiorreceptores de carótida y aorta:
- disminuye pCO2
- posterior depresión centro respiratorio en SNC
- constricción arterial cerebral
- reducción flujo sanguíneo
Toxicodinamia 2
- Unión inhibidora a muchas enzimas y proteínas.
- El CN- estimula los quimiorreceptores de carótida y aorta:
- Disminuye pCO2
- Posterior depresión centro respiratorio en SNC
- Constricción arterial cerebral
- Reducción flujo sanguíneo
Sintomas del CN- o Cianuro:
Sobreaguda:
- Poco frecuente en Veterinaria
- Síntomas tras 1-5 minutos de exposición
- Inhibición de centros bulbares: Animal cae, grita, vomita, disnea, paro cardíaco.
Aguda
- La más frecuente en Veterinaria
- ≥ 15 minutos desde exposición, hasta pocas horas
- Tres fases, con duración total de 0.5-1 hora:
- Excitación, temblores, polipnea, disnea, salivación, lagrimeo, vómitos, taquicardia.
- Animal se cae, disnea, convulsiones, midriasis hipóxica, emisión de heces y orina, mucosas brillantes, bradipnea, bradicardia.
- Respiración débil, mucosas pueden terminar cianóticas, colapso vascular, muerte.
Crónica
- Muy rara en Veterinaria
- Patología humana: Neuropatía Atáxica tropical
- Síntomas no característicos:
- Nauseas, vómitos
- Ptialismo: Secreción excesiva de saliva por las glándulas salivales, ya sea por aumento en la producción o por disminución en la deglución.
- Incoordinación, ataxia y parálisis tercio posterior.
- Cistitis e incontinencia urinaria: Síndrome Equino de Cistitis-ataxia por Sorgo
- Mas comun en equidos
Lesiones
- La sangre está brillante (rojo cereza), pero puede hacerse oscura si la necropsia se retrasa. Órganos congestionados, oscuros
- La sangre no coagula o lo hace muy lentamente.
- Las mucosas brillantes, pero se hacen cianóticas al terminar la respiración.
- Rumen puede estar hinchado de gas, con olor a almendras amargas.
Diagnóstico
- Clínico: Combinación de animal comatoso, hipotenso, apneico, midriasis, bradicardia, mucosas brillantes (ausencia de cianosis).
- Laboratorial: Sólo sirve para confirmar. Muestras:
- Muestras de plantas sin romper, refrigeradas o congeladas y en frascos herméticos.
- Contenido gástrico/rumen, sangre heparinizada, hígado y músculo.
- Positivo si sangre o hígado > 1 ppm
- Plantas con 200 ppm o más de CN, sospechoso
Tratamientos
-
Normalmente no da tiempo.
-
General de descontaminación (carbón activo ineficaz) y control de funciones: vías respiratorias, oxigenoterapia, bicarbonato Na (acidosis), cardiomonitorización, glucosa o dextrosa... Suele bastar si el animal sobrevive 2-3 horas de síntomas
-
Tratamiento antidótico: impedir que el CN- se una a la citocromo c oxidasa y liberar el ya unido. Conviene utilizarlo cuando la concentración plasmática de CN- es de 3-40 µg/ml. ES UN TRATAMIENTO PELIGROSO, IMPORTANTE.
Antídotos
Alternativa más eficaz pero muy peligrosa: tratamiento doble, nitritos más tiosulfato:
- NITRITOS: Genera metahemoglobina (Fe3+) con más afinidad por el CN- que la citocromo oxidasa.
- Nitrito de Na 20 mg/kg en infusión IV a partir de disolución 10 g / 100 ml. Puede repetirse a 10 mg/kg
- Se pretende conseguir un 10-40 % de metahemoglobina
- En consecuencia, se genera cianometahemoglobina
- Tiosulfato de Na: A continuación de los nitritos. Libera el CN- de la cianometahemoglobina y se genera tiocianato y sulfito en sangre y en hígado a través de rodanasa.
Alternativas más seguras, en rumiantes:
- Tiosulfato sódico sólo, como antes y en gramos vía oral para el rumen.
- Azul de metileno IV, 4-22 mg/kg (mejor no, peligroso)
Prevención
- Uso de variedades de cultivo con poco cianuro
- Impedir que los animales accedan a campos jóvenes de planta con cianuro como el sorgo
- No cosechar sorgo de menos de 60 cm de alto
- Adecuado tiempo de almacenamiento como heno o ensilado




No comments to display
No comments to display